G/Y4-73系列离心通风机
发布时间:2023-02-02浏览次数:33
G/Y4-73系列离心通风机
一、风机的用途
该系列风机适用于火力发电厂中蒸汽锅炉的送、引风系统,无其它特殊要求时,亦可用于矿井通风及一般通风,换气及鼓风、引风用,其使用条件如下:
1.输送气体种类:空气和其它不自燃的,对人体无害的气体。输送气体的温度不得超过80℃,引风机输送气体温度不得超过250℃。其具有效率高、节能(系统匹配性好)、噪音低、运转平稳、调节性能好等特点 。
2、引风机前,必须加装除尘装置,以保证进入风机的烟气中含尘量尽量少。根据一般电厂使用情况,除尘效率不得低于85%。
二、风机的形式
1.风机可制成右旋和左旋两种形式,从电动机一端正视,叶轮按顺时针方向旋转,称为右旋风机,以“右”表示;叶轮按逆时针方向旋转,称为左旋风机,以“左”表示。
2.风机的出口位置,以机壳的出口角度表示。通风机和引风机制成单吸入,各有№8-29.5共13个机号。
3.风机的传动方式为D式,电机与风机联接均采用弹性联轴器直联传动。
4.产品型号含义 (以G/Y4-73№22D为例)

三、主要组成部分的结构特征
该类型D式风机主要由叶轮,机壳,进风口,调节门,传动组等组成。
1.叶轮:由12枚后向型机翼叶片,锥形前盘和平板形后盘三者焊接,后盘与轴盘采用铆接;由于采用了机翼型叶片设计,保证了风机的高效率以及底噪音的特点。叶轮成型后经静、动平衡校正,空气动力性能良好,效率高,运转平稳,安全可靠。
2.机壳:用普通钢板焊接成蜗壳型整体,也可根据实际需要制成两开式或三开式。在蜗板上装有清灰门,便于清除堆积在叶片处和机壳内的积灰,以保证叶轮的平衡性和气动性能。
3.进风口:制成整体,用螺栓固定于机壳入口处,进风口内形状呈收敛、流线型,能使气体均匀进入叶轮,损失较小。
4.传动组:有主轴,轴承箱,联轴器组成,主轴由优质碳钢制成。轴承箱为整体结构,采用滚动轴承,以支撑叶轮使其安全运转。轴承箱上装有温度计和油位指示器。润滑油采用30#机械油。轴承箱经过改造装有挡油环,侧盖处加甩油槽和回油环等四道密封结构,有效的防止漏油。引风机轴承箱运用循环水道冷却,其用水量为0.5-1.0m3/h。
5.调节门:用来调节风机流量的大小。调节门叶片为花瓣形,轴向安装在进风口前,由于采用了外部传动结构,转动灵活方便,调节范围由90°(全闭)到0°(全开)。调节门的搬把位置从进风口方向看在右侧。对右旋风机,搬把从下向上推,是由全闭到全开方向,对左旋风机,搬把从上向下拉是由全闭到全开方向。为使调节门各部正常工作,必须很好的润滑。润滑脂采用二硫化钼高温(260℃)润滑脂,风机在高温运转时,仍能保证润滑作用。
四、风机性能与选择
由无因次参数计算有因次参数的公式:

式中:
Q--流量(m³/h)
p--全压(Pa)
D2--叶轮叶片外缘直径(m)
U2--叶轮叶片外缘线速度(m/s)
ρ1--进气密度(kg/m³)
KP--全压压缩性系数
Nin--内功率 (kW)
Nre--所需功率(kW)
ηm--机械效率(A式传动取1,D式传动取0.98)
K--电机的储备系数(一般情况下通风机取1.15,引风机取1.3)
风机性能一般均指在标准状态下输送气体的性能。标准状态指大气压Pa=101325Pa,大气温度t=20℃,相对湿度50%,空气密度ρ=1.2kg/m3。性能表中性能均指调节叶片为0°(调节门全开)时风机的性能。
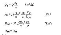
当使用状态为非标准状态时,必须把非标准状态的性能换算到标准状态的性能,然后根据换算性能选择风机。其换算公式如下:

式中:
ηin0--内效率
n--转速(r/min)
无注脚0为使用状态。
五、风机的安装,调试和试运转
⒈安装前,应对风机各部件进行全面检查,机件是否完整,叶轮与机壳的旋转方向是否一致,各部件连接是否紧密,叶轮,主轴,轴承等主要机件有无损伤,传动是否灵活等等。如发现问题应予以修好和调整。
⒉安装时,注意检查机壳内不应有掉入和遗留的工具和杂物,在一些结合面上为防止生锈,减少拆卸困难,应上一层润滑脂或机械油。风机与地基结合面,进出风管道连接时,应调整使之自然吻合,不得强行连接,更不许将管道重量加在风机各部件上,并注意保证风机水平位置。检查循环水是否畅通,传动组润滑脂是否适当。
⒊安装要求
(1)按图纸所示的位置与尺进行安装,为确保高效率,特别要保证进风口与叶轮的轴向和径向间隙尺寸。
(2)保证主轴的水平位置,并测量主轴与电机轴的同心度及连轴器两端的不平度。两轴的不平度允差为0.05mm,连轴器两端面不平度允差为0.05mm。
(3)安装花瓣式调节装置时,注意不要装反。要保证进气方向与叶轮旋转方向一致。
(4)安装后拨动传动组,检查是否有过紧或与固定部分有相碰撞现象,发现不妥之处必须调整好。
(5)安装风机进、出口管道时,注意重量不要加在机壳上。
(6)风机的试运转
风机全部安装完毕,并已按电机的有关要求已安装完毕,在总检合格后,才能进行试运转。
风机启动时必须在无负荷(应将风机管道上的进口闸阀或调节门稍开)的情况下进行,待达到额定转速后,逐步将阀门开启,直至达到额定工况为止,再此期间,应严格控制电流,不得超过电机的额定值。对新安装风机,满载运行不少于2小时。
六、风机的操作
⒈风机启动前,应进行下列准备工作:
(1)将风机进口管道中的阀门或风机调节门微开或关闭。
(2)检查风机各部的间隙尺寸,转动部分与固定部分有无碰撞及摩擦现象。
(3)检测轴承油位是否在最底与最高油位之间。
(4)检查电气线路及仪表是否正常。
(5)检查冷却部位及管路是否正常。
⒉当风机启动后,达到正常转速时,应在运转过程中经常检查轴承温度是否正常,轴承温升不得大于40℃,表温不大于70℃。如发现风机有剧烈震动,撞击,摩擦声响,轴承温度迅速上升等反常现象时必须紧急停车,检查并消除存在的问题。
七、风机的维护
为了避免由于维护不当而引起人为事故的发生,预防风机和电机各方面自然故障的发生,从而充分发挥设备的效能,延长设备的使用寿命,因此必须加强风机维护。
⒈风机维护工作注意事项:
(1)只有风机设备在完好正常的情况下方可运转。
(2)如果风机设备在检修后开动时,则须注意风机各部件是否正常。
(3)定期清除风机内积灰,污垢等杂质,并防止锈蚀。
(4)为确保人身安全,风机的维护必须再停车情况下进行。
⒉风机正常运转中的注意事项:
(1)在风机开车,停车或运转过程中,如发现不正常现象时应立即进行检查,发现较小故障,应查明原因并设法消除。如发现大故障,应立即停车检查并排除之。
(2)如发现流量过大,不符和使用要求,或是短时间内需要较小的流量,可以利用调节门进行调节,以达到使用要求。
(3)对温度计及油标的灵敏度定期检测。
(4)除每次检修后必须更换润滑脂外,正常情况下可根据实际情况更换润滑脂。
八、风机运转中故障产生的原因
⒈风机的剧烈震动。
(1)进风口或机壳与叶轮摩擦。
(2)基础的刚度不够或不牢固。
(3)叶轮铆钉松动或叶轮变形。
(4)叶轮轴盘孔与轴配合松动。
(5)机壳,轴承座与支架,轴承座与轴承盖等连接螺栓松动。
(6)风机进,出口管道安装不良,产生共振。
(7)叶片有积灰,污垢,叶片磨损,叶轮变形及轴弯曲,破坏了转子的平衡。
⒉轴承升温过高。
(1)轴承箱震动剧烈。
(2)润滑脂质量不良,变质和含有灰尘,沙粒,污垢等杂质或充填量不足。
(3)轴承箱盖座连接螺栓预紧力过大或过小。
(4)轴与滚动轴承安装歪斜,前后两轴不同心。
(5)滚动轴承损坏或轴弯曲。
⒊电动机电流过大或升温过高。
(1)开车时进口管道阀门位置不对。
(2)电动机输入电压低或电源单向断电。
(3)受轴承箱震动剧烈的影响。
(4)主轴转速超过额定值。
(5)输送气体密度大于额定值。
(6)流量超过额定值。
九、单机产品成套供应范围
风机一台,配套电机一台,联轴器一套,地脚螺栓一副。
十、定货须知
定货时必须注明风机机号,输送介质,温度,输送介质中所含固体性质颗粒的硬度,含量及风机转速,风量,风压,出风口角度,旋转方向以及电机型号,功率,转速等。
注:此样本的性能参数及风机的安装尺寸只供用户参考,如实际采用,请与厂方索取详细资料。
一、风机的用途
该系列风机适用于火力发电厂中蒸汽锅炉的送、引风系统,无其它特殊要求时,亦可用于矿井通风及一般通风,换气及鼓风、引风用,其使用条件如下:
1.输送气体种类:空气和其它不自燃的,对人体无害的气体。输送气体的温度不得超过80℃,引风机输送气体温度不得超过250℃。其具有效率高、节能(系统匹配性好)、噪音低、运转平稳、调节性能好等特点 。
2、引风机前,必须加装除尘装置,以保证进入风机的烟气中含尘量尽量少。根据一般电厂使用情况,除尘效率不得低于85%。
二、风机的形式
1.风机可制成右旋和左旋两种形式,从电动机一端正视,叶轮按顺时针方向旋转,称为右旋风机,以“右”表示;叶轮按逆时针方向旋转,称为左旋风机,以“左”表示。
2.风机的出口位置,以机壳的出口角度表示。通风机和引风机制成单吸入,各有№8-29.5共13个机号。
3.风机的传动方式为D式,电机与风机联接均采用弹性联轴器直联传动。
4.产品型号含义 (以G/Y4-73№22D为例)

三、主要组成部分的结构特征
该类型D式风机主要由叶轮,机壳,进风口,调节门,传动组等组成。
1.叶轮:由12枚后向型机翼叶片,锥形前盘和平板形后盘三者焊接,后盘与轴盘采用铆接;由于采用了机翼型叶片设计,保证了风机的高效率以及底噪音的特点。叶轮成型后经静、动平衡校正,空气动力性能良好,效率高,运转平稳,安全可靠。
2.机壳:用普通钢板焊接成蜗壳型整体,也可根据实际需要制成两开式或三开式。在蜗板上装有清灰门,便于清除堆积在叶片处和机壳内的积灰,以保证叶轮的平衡性和气动性能。
3.进风口:制成整体,用螺栓固定于机壳入口处,进风口内形状呈收敛、流线型,能使气体均匀进入叶轮,损失较小。
4.传动组:有主轴,轴承箱,联轴器组成,主轴由优质碳钢制成。轴承箱为整体结构,采用滚动轴承,以支撑叶轮使其安全运转。轴承箱上装有温度计和油位指示器。润滑油采用30#机械油。轴承箱经过改造装有挡油环,侧盖处加甩油槽和回油环等四道密封结构,有效的防止漏油。引风机轴承箱运用循环水道冷却,其用水量为0.5-1.0m3/h。
5.调节门:用来调节风机流量的大小。调节门叶片为花瓣形,轴向安装在进风口前,由于采用了外部传动结构,转动灵活方便,调节范围由90°(全闭)到0°(全开)。调节门的搬把位置从进风口方向看在右侧。对右旋风机,搬把从下向上推,是由全闭到全开方向,对左旋风机,搬把从上向下拉是由全闭到全开方向。为使调节门各部正常工作,必须很好的润滑。润滑脂采用二硫化钼高温(260℃)润滑脂,风机在高温运转时,仍能保证润滑作用。
四、风机性能与选择
由无因次参数计算有因次参数的公式:

式中:
Q--流量(m³/h)
p--全压(Pa)
D2--叶轮叶片外缘直径(m)
U2--叶轮叶片外缘线速度(m/s)
ρ1--进气密度(kg/m³)
KP--全压压缩性系数
Nin--内功率 (kW)
Nre--所需功率(kW)
ηm--机械效率(A式传动取1,D式传动取0.98)
K--电机的储备系数(一般情况下通风机取1.15,引风机取1.3)
风机性能一般均指在标准状态下输送气体的性能。标准状态指大气压Pa=101325Pa,大气温度t=20℃,相对湿度50%,空气密度ρ=1.2kg/m3。性能表中性能均指调节叶片为0°(调节门全开)时风机的性能。
当使用状态为非标准状态时,必须把非标准状态的性能换算到标准状态的性能,然后根据换算性能选择风机。其换算公式如下:

式中:
ηin0--内效率
n--转速(r/min)
无注脚0为使用状态。
五、风机的安装,调试和试运转
⒈安装前,应对风机各部件进行全面检查,机件是否完整,叶轮与机壳的旋转方向是否一致,各部件连接是否紧密,叶轮,主轴,轴承等主要机件有无损伤,传动是否灵活等等。如发现问题应予以修好和调整。
⒉安装时,注意检查机壳内不应有掉入和遗留的工具和杂物,在一些结合面上为防止生锈,减少拆卸困难,应上一层润滑脂或机械油。风机与地基结合面,进出风管道连接时,应调整使之自然吻合,不得强行连接,更不许将管道重量加在风机各部件上,并注意保证风机水平位置。检查循环水是否畅通,传动组润滑脂是否适当。
⒊安装要求
(1)按图纸所示的位置与尺进行安装,为确保高效率,特别要保证进风口与叶轮的轴向和径向间隙尺寸。
(2)保证主轴的水平位置,并测量主轴与电机轴的同心度及连轴器两端的不平度。两轴的不平度允差为0.05mm,连轴器两端面不平度允差为0.05mm。
(3)安装花瓣式调节装置时,注意不要装反。要保证进气方向与叶轮旋转方向一致。
(4)安装后拨动传动组,检查是否有过紧或与固定部分有相碰撞现象,发现不妥之处必须调整好。
(5)安装风机进、出口管道时,注意重量不要加在机壳上。
(6)风机的试运转
风机全部安装完毕,并已按电机的有关要求已安装完毕,在总检合格后,才能进行试运转。
风机启动时必须在无负荷(应将风机管道上的进口闸阀或调节门稍开)的情况下进行,待达到额定转速后,逐步将阀门开启,直至达到额定工况为止,再此期间,应严格控制电流,不得超过电机的额定值。对新安装风机,满载运行不少于2小时。
六、风机的操作
⒈风机启动前,应进行下列准备工作:
(1)将风机进口管道中的阀门或风机调节门微开或关闭。
(2)检查风机各部的间隙尺寸,转动部分与固定部分有无碰撞及摩擦现象。
(3)检测轴承油位是否在最底与最高油位之间。
(4)检查电气线路及仪表是否正常。
(5)检查冷却部位及管路是否正常。
⒉当风机启动后,达到正常转速时,应在运转过程中经常检查轴承温度是否正常,轴承温升不得大于40℃,表温不大于70℃。如发现风机有剧烈震动,撞击,摩擦声响,轴承温度迅速上升等反常现象时必须紧急停车,检查并消除存在的问题。
七、风机的维护
为了避免由于维护不当而引起人为事故的发生,预防风机和电机各方面自然故障的发生,从而充分发挥设备的效能,延长设备的使用寿命,因此必须加强风机维护。
⒈风机维护工作注意事项:
(1)只有风机设备在完好正常的情况下方可运转。
(2)如果风机设备在检修后开动时,则须注意风机各部件是否正常。
(3)定期清除风机内积灰,污垢等杂质,并防止锈蚀。
(4)为确保人身安全,风机的维护必须再停车情况下进行。
⒉风机正常运转中的注意事项:
(1)在风机开车,停车或运转过程中,如发现不正常现象时应立即进行检查,发现较小故障,应查明原因并设法消除。如发现大故障,应立即停车检查并排除之。
(2)如发现流量过大,不符和使用要求,或是短时间内需要较小的流量,可以利用调节门进行调节,以达到使用要求。
(3)对温度计及油标的灵敏度定期检测。
(4)除每次检修后必须更换润滑脂外,正常情况下可根据实际情况更换润滑脂。
八、风机运转中故障产生的原因
⒈风机的剧烈震动。
(1)进风口或机壳与叶轮摩擦。
(2)基础的刚度不够或不牢固。
(3)叶轮铆钉松动或叶轮变形。
(4)叶轮轴盘孔与轴配合松动。
(5)机壳,轴承座与支架,轴承座与轴承盖等连接螺栓松动。
(6)风机进,出口管道安装不良,产生共振。
(7)叶片有积灰,污垢,叶片磨损,叶轮变形及轴弯曲,破坏了转子的平衡。
⒉轴承升温过高。
(1)轴承箱震动剧烈。
(2)润滑脂质量不良,变质和含有灰尘,沙粒,污垢等杂质或充填量不足。
(3)轴承箱盖座连接螺栓预紧力过大或过小。
(4)轴与滚动轴承安装歪斜,前后两轴不同心。
(5)滚动轴承损坏或轴弯曲。
⒊电动机电流过大或升温过高。
(1)开车时进口管道阀门位置不对。
(2)电动机输入电压低或电源单向断电。
(3)受轴承箱震动剧烈的影响。
(4)主轴转速超过额定值。
(5)输送气体密度大于额定值。
(6)流量超过额定值。
九、单机产品成套供应范围
风机一台,配套电机一台,联轴器一套,地脚螺栓一副。
十、定货须知
定货时必须注明风机机号,输送介质,温度,输送介质中所含固体性质颗粒的硬度,含量及风机转速,风量,风压,出风口角度,旋转方向以及电机型号,功率,转速等。
注:此样本的性能参数及风机的安装尺寸只供用户参考,如实际采用,请与厂方索取详细资料。
上一篇:HTFC(DT)柜式离心通风机
下一篇:GDF系列离心式管道风机


